Έρευνα - Οι κάτοικοι κοντά στη θάλασσα ζουν περισσότερο
-
Η ζωή σε μια πόλη που βρίσκεται πάνω σε ποτάμι ή κοντά σε λίμνη μπορεί να μειώσει το προσδόκιμο ζωής κατά τουλάχιστον έναν χρόνο, σύμφωνα με πρόσφατη μελέτη.
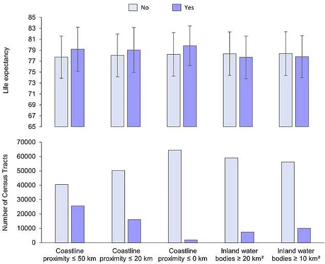
Οι ερευνητές του Ohio State University ανέλυσαν στοιχεία πληθυσμού, συμπεριλαμβανομένου και του προσδόκιμου ζωής, σε περισσότερες από 66.000 περιοχές απογραφής σε ολόκληρες τις ΗΠΑ και τα συνέκριναν με βάση την εγγύτητα σε υδάτινα σώματα. Το μέσο προσδόκιμο ζωής στις ΗΠΑ είναι 78,4 έτη και τα τελευταία χρόνια παρουσιάζει πτώση.
Παράκτιες περιοχές vs ποτάμιες πόλεις: Τι εξηγεί αυτή τη διαφορά
Η μελέτη έδειξε ότι οι κάτοικοι σε αστικά περιβάλλοντα κοντά σε ποτάμια ή λίμνες άνω των 10 τετρ. χιλιομέτρων τείνουν να πεθαίνουν περίπου στα 78, ενώ όσοι ζουν σε ακτές ωκεανών ή κόλπων ζουν κατά μέσο όρο έναν χρόνο περισσότερο. Οι κάτοικοι που ζουν εντός 30 μιλίων από ωκεανό ή κόλπο ήταν πιο πιθανό να φτάσουν στην ηλικία των 80.
Οι επιστήμονες αποδίδουν τη μακροζωία των παράκτιων κατοίκων σε πιο ήπιες θερμοκρασίες, καλύτερη ποιότητα αέρα, περισσότερες ευκαιρίες αναψυχής, καλύτερες συγκοινωνίες, χαμηλότερη έκθεση σε ξηρασίες και υψηλότερα εισοδήματα.
Αντίθετα, οι πόλεις σε ποτάμια παρουσίασαν περισσότερη ρύπανση, υψηλότερη φτώχεια, έλλειψη ασφαλών ευκαιριών για σωματική δραστηριότητα και αυξημένο κίνδυνο πλημμυρών.
Σύμφωνα με τους ερευνητές, οι ποτάμιες πόλεις έχουν σημαντικά υψηλότερη ρύπανση νερού και αέρα λόγω συγκέντρωσης αστικών απορροών, κακοσυνδεδεμένων αποχετεύσεων, υπερχειλίσεων λυμάτων και βιομηχανικής δραστηριότητας.Η Υπηρεσία Προστασίας Περιβάλλοντος (EPA) προειδοποιεί ότι τα μολυσμένα αστικά ύδατα αποτελούν «κίνδυνο για τη δημόσια και περιβαλλοντική υγεία», επηρεάζοντας το πόσιμο νερό και την ασφάλεια στο κολύμπι.
Το παράδειγμα του Σικάγο: «Ξαφνιαστήκαμε από τα αποτελέσματα»
Την άνοιξη, το Σικάγο, που βρίσκεται στη λίμνη Μίσιγκαν και διασχίζεται από τον ομώνυμο ποταμό, βρέθηκε καλυμμένο από τοξικά χημικά. Οι χάρτες ποιότητας αέρα έδειξαν νέφος με δείκτη AQI 500, την υψηλότερη δυνατή τιμή, που αντιστοιχεί σε ακραία επικίνδυνη ατμοσφαιρική ρύπανση, επίπεδα που συνήθως παρατηρούνται μόνο σε τεράστιες πυρκαγιές ή ηφαιστειακές εκρήξεις.Η επικεφαλής ερευνήτρια, Jianyong «Jamie» Wu, δήλωσε πως πίστευε ότι κάθε μορφή υδάτινου περιβάλλοντος («blue space») θα προσέφερε οφέλη στην υγεία. «Μείναμε έκπληκτοι από τη σαφή διαφορά ανάμεσα σε όσους ζουν κοντά σε ακτές και σε όσους ζουν δίπλα σε εσωτερικά ύδατα».